Em uma tribo indígena de uma ilha tropical, o teste derradeiro de coragem de um jovem é deixar se cair em um rio, do alto de um penhasco. Um desses jovens se soltou verticalmente, a partir do repouso, …
Fuvest 2018 Furacões são sistemas físicos que liberam uma enorme quantidade de energia por meio de diferentes
Furacões são sistemas físicos que liberam uma enorme quantidade de energia por meio de diferentes tipos de processos, sendo um deles a condensação do vapor em água. De acordo com o Laboratório …
Fuvest 2018 Câmeras digitais, como a esquematizada na figura, possuem mecanismos automáticos de focalização
Câmeras digitais, como a esquematizada na figura, possuem mecanismos automáticos de focalização. Em uma câmera digital que utilize uma lente convergente com 20 mm de distância focal, a distância, …
Fuvest 2018 Câmeras digitais, como a esquematizada na figura, possuem mecanismos automáticos de focalização
Câmeras digitais, como a esquematizada na figura, possuem mecanismos automáticos de focalização. Em uma câmera digital que utilize uma lente convergente com 20 mm de distância focal, a distância, …
Fuvest 2018 Um fabricante de acessórios de montanhismo quer projetar um colchão de espuma apropriado
Um fabricante de acessórios de montanhismo quer projetar um colchão de espuma apropriado para ser utilizado por alpinistas em regiões frias. Considere que a taxa de transferência de calor ao solo por …
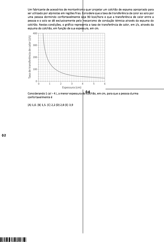
Fuvest 2018 Um fabricante de acessórios de montanhismo quer projetar um colchão de espuma apropriado para ser utilizado
Um fabricante de acessórios de montanhismo quer projetar um colchão de espuma apropriado para ser utilizado por alpinistas em regiões frias. Considere que a taxa de transferência de calor ao solo por …




