Deseja-se postar cartas não comerciais, sendo duas de 100 g, três de 200 g e uma de 350 g. O gráfico mostra o custo para enviar uma carta não comercial pelos …
ENEM 2013 Cinco empresas de gêneros alimentícios encontram-se à venda. Um empresário, almejando
Cinco empresas de gêneros alimentícios encontram-se à venda. Um empresário, almejando ampliar os seus investimentos, deseja comprar uma dessas empresas. Para escolher qual delas irá comprar, analisa o …
ENEM 2013 Para se construir um contrapiso, é comum, na constituição do concreto, se utilizar cimento
Para se construir um contrapiso, é comum, na constituição do concreto, se utilizar cimento, areia e brita, na seguinte proporção: 1 parte de cimento, 4 partes de areia e 2 partes de brita. Para …
ENEM 2013 O contribuinte que vende mais de R$ 20 mil de ações em Bolsa de Valores
O contribuinte que vende mais de R$ 20 mil de ações em Bolsa de Valores em um mês deverá pagar Imposto de Renda. O pagamento para a Receita Federal consistirá em 15% do lucro obtido com a venda das …
ENEM 2013 Num parque aquático existe uma piscina infantil na forma de um cilindro circular reto
Num parque aquático existe uma piscina infantil na forma de um cilindro circular reto, de 1 m de profundidade e volume igual a 12 m³, cuja base tem raio R e centro O. Deseja-se construir uma ilha de …
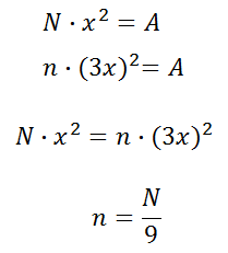
ENEM 2013 Uma fábrica de fórmicas produz placas quadradas de lados de medida igual
Uma fábrica de fórmicas produz placas quadradas de lados de medida igual a y centímetros. Essas placas são vendidas em caixas com N unidades e, na caixa, é especificada a área máxima S que pode ser …


