Uma fábrica de fórmicas produz placas quadradas de lados de medida igual a y centímetros. Essas placas são vendidas em caixas com N unidades e, na caixa, é especificada a área máxima S que pode ser coberta pelas N placas.
Devido a uma demanda do mercado por placas maiores, a fábrica triplicou a medida dos lados de suas placas e conseguiu reuni-las em uma nova caixa, de tal forma que a área coberta S não fosse alterada.
A quantidade X, de placas do novo modelo, em cada nova caixa será igual a:
- N/9
- N/6
- N/3
- 3N
- 9N
SOLUÇÃO
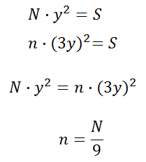
Temos que:

Devemos fazer as contas para a mesma área em uma caixa:

letra
