Ícone do site resumov

Resumo Progressão Aritmética – PA

Primeiro vamos definir o que são  sequências numéricas:

São sequência de números, finitas ou infinitas, na forma (a1, a2, a3, …, an) que obedecem a uma lei de formação.

Veja o exemplo abaixo.

Sequência = {2; 3; 4; 5; 6…}

Percebemos que cada termo tem uma unidade a mais que o anterior.

Progressão Aritmética

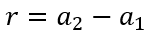
É um tipo de sequência numérica em que a diferença entre diferença entre quaisquer dois números consecutivos é sempre constante. Essa diferença é chamada de razão da PA.

De maneira mais geral:

Podemos fazer a mesma análise no seguinte gráfico.

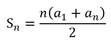
Podemos estabelecer a lei geral da PA através da soma das equações abaixo:

Também podemos encontrar o termo n em função do termo k:

Agora vejamos como fazer a soma da PA.

Veja agora a seguinte questão de concurso público:

FCC – TJ TRF2/TRF 2/Administrativa/”Sem Especialidade”/2012

Considere que os termos da sucessão seguinte foram obtidos segundo determinado padrão.

(20, 21, 19, 22, 18, 23, 17, …)

Se, de acordo com o padrão estabelecido, X e Y são o décimo e o décimo terceiro termos dessa sucessão, então a razão Y/X é igual a:

a) 44%.

b) 48%.

c) 56%.

d) 58%.

e) 64%.

Vamos resolver essa questão de duas maneiras, a maneira que todo mundo resolve e a maneira fácil.

Primeiro, a maneira que todo mundo resolve. Percebemos o seguinte padrão entre os números da sequência:

Seguindo esta linha de raciocínio, conseguimos encontrar o 10° e o 13° termos.

Mas sinceramente, na prova o tempo é escasso!

Então, é muito mais útil perceber que temos duas PAs na mesma sequência, veja as cores diferentes:

Assim, basta ir completando as sequências até achar o termo 10° e o 13°:

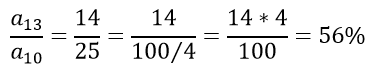
Dividindo o 13° termo pelo 10° conforme a questão pede, temos:

Parabéns, você resolveu em menos de 60 segundos e gabaritou.

Letra C.

 

Inscreva-se na nossa newsletter e receba mini simulados e resumos pra você gabaritar sua prova.

 Susane Ribeiro. Eng. Aeronáutica do ITA. Turma 2009.

Sair da versão mobile