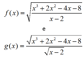
Sejam Df e Dg os maiores subconjuntos de R nos quais estão definidas, respectivamente, as funções reais

Considere, ainda, If e Ig as imagens de f e de g, respectivamente.
Nessas condições,
- Df = Dg e If = Ig
- Tanto Df e Dg quanto If e Ig diferem em apenas um ponto.
- Df e Dg diferem em apenas um ponto, If e Ig e diferem em mais de um ponto.
- Df e Dg diferem em mais de um ponto, If e Ig diferem em apenas um ponto.
- Tanto Df e Dg quanto If e Ig diferem em mais de um ponto.
Tags – Matemática, determinação de domínios, determinação do conjunto imagem, estudo de sinais de uma função, esboço de gráficos, função modular.
Resolução
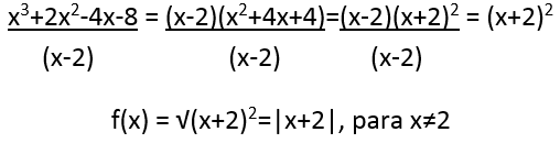
Divisões por zero e raízes negativas não são definidos nos reais, logo a função f não é definida para x-2=0 → x=2 e para valores em que o radicando é negativo. Observe que 2 é uma das raízes do numerador, portanto podemos simplificar o radicando :


f(x) = √(x+2)2=|x+2|, para x≠2

Como (x+2)2 é positivo para todo valor de x real, não teremos problema com radicando negativo, logo a função f é definida para todo valor de x ϵ R-{2} (Df = R-{2} e If = R+*}.
Para a função g, ambas as raízes devem ser determinadas, logo x3+2x2-4x-8 e x-2 devem ser não negativas. Como visto anteriormente a radicando do numerador pode ser fatorado em (x-2)(x+2)(x+2), estudando o sinal dessas funções temos que:

Observe que o sinal de cada linha é dado pelo estudo de sinal das retas e o sinal da última linha é dado pelo produto entre os sinais da coluna. Portanto, a função g só está definida para x > 2, já que em x = 2 caímos em uma divisão por zero e para x<2 teremos radicandos negativos. No domínio em que o numerador e o denominador de g estão definidos podemos simplifica-lo para g(x) =|x+2|, assim Ig=]4,∞[.

Portanto, a alternativa correta é a E, pois tanto Df e Dg quanto If e Ig diferem em mais de um ponto.
letra E
