Em uma urna, há bolas amarelas, brancas e vermelhas. Sabe-se que:
- A probabilidade de retirar uma bola vermelha dessa urna é o dobro da probabilidade de retirar uma bola
- Se forem retiradas 4 bolas amarelas dessa urna, a probabilidade de retirar uma bola vermelha passa a ser 1/2.
- Se forem retiradas 12 bolas vermelhas dessa urna, a probabilidade de retirar uma bola branca passa a ser 1/2.
A quantidade de bolas brancas na urna é
(A) 8.
(B) 10.
(C) 12.
(D) 14.
(E) 16.
Tags – Matemática, probabilidade, sistema de equações, equacionamento de problemas.
Resolução
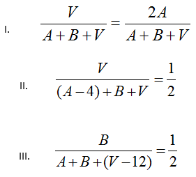
Seja A, B e V, respectivamente, a quantidade de bolinhas da urna nas cores amarela, vermelha e verde. Do enunciado, temos que:

Como a quantidade total de bolinhas é diferente zero, de I. temos que . Substituindo em II. e III.:

Substituindo (2) em (1), chegamos a alternativa C:
A = (3A – 12) – 4
2A = 16
A = 8
V = 2A = 16
B = A + 4 = 12
letra C
