Em uma tribo indígena de uma ilha tropical, o teste derradeiro de coragem de um jovem é deixar se cair em um rio, do alto de um penhasco. Um desses jovens se soltou verticalmente, a partir do repouso, de uma altura de 45 m em relação à superfície da água. O tempo decorrido, em segundos, entre o instante em que o jovem iniciou sua queda e aquele em que um espectador, parado no alto do penhasco, ouviu o barulho do impacto do jovem na água é, aproximadamente,
| Note e adote:
Considere o ar em repouso e ignore sua resistência. Ignore as dimensões das pessoas envolvidas. Velocidade do som no ar: 360 m/s. Aceleração da gravidade: 10 m/s2. |
(A) 3,1.
(B) 4,3.
(C) 5,2.
(D) 6,2.
(E) 7,0.
Tags – Física, queda livre, propagação do som, equação horária do espaço na queda livre, movimento retilíneo uniforme.
Resolução
Podemos dividir o problema em duas partes: i) calculo do tempo de queda do índio; ii) calculo do tempo que o som leva para chegar a ponta do penhasco.

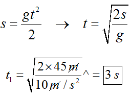
A parte i consiste de uma queda livre, portanto podemos calcular o tempo através da equação horária do espaço na queda livre (ou através da função horária do espaço considerando s0=0 m e v0=0 m/s):

t1 = √((2 x 45) / 10) = √(90/10) = √9 = 3 s
Na parte ii temos um movimento retilíneo uniforme (MRU), portanto pela função horária do espaço temos que:

Assim sendo o tempo decorrido entre o instante em que o jovem iniciou sua queda e aquele em que um espectador, parado no alto do penhasco, ouviu o barulho do impacto do jovem na água é ttotal = t1 + t2 = 3 + 0,125 = 3,125 ≅ 3,1 s, alternativa A.
LETRA A
