Em um laboratório químico, foi encontrado um frasco de vidro contendo um líquido incolor e que apresentava o seguinte rótulo:

Para identificar a substância contida no frasco, foram feitos os seguintes testes:
I. Dissolveram se alguns mililitros do líquido do frasco em água, resultando uma solução neutra. A essa solução, adicionaram se uma gota de ácido e uma pequena quantidade de um forte oxidante. Verificou se a formação de um composto branco insolúvel em água fria, mas solúvel em água quente. A solução desse composto em água quente apresentou pH = 4.
II. O sólido branco, obtido no teste anterior, foi dissolvido em etanol e a solução foi aquecida na presença de um catalisador. Essa reação produziu benzoato de etila, que é um éster aromático, de fórmula C9H10O.
Com base nos resultados desses testes, concluiu se que o Composto Alfa é:

Tags – Química, Propriedades das funções orgânicas, identificação de substâncias, testes químicos.
Resolução
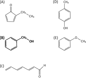
Analisando o comportamento dessa substância nos testes, temos que pelo teste I o composto Alfa não pode ser o item D (p-cresol ou 4-metilfenol), pois esse se trata de um fenol, que em água, apresenta caráter ácido.
Ainda no teste I, ao adicionar uma gota de ácido e uma pequena quantidade de um forte oxidante, ocorreu a oxidação da substância que formou o composto branco insolúvel em água fria e que em água quente mostrou ter caráter ácido (pH<7). Portanto, as alternativas A (2-etil-ciclopentadienona) e E (Metoxibenzeno ou Anisol) podem ser eliminadas, já que os grupos funcionais cetona e éter não oxidam.
Já os compostos da letra B (Fenilmetanol ou álcool benzílico) e da letra C (2,4,6-heptatrienal) oxidam de acordo com as seguintes reações:


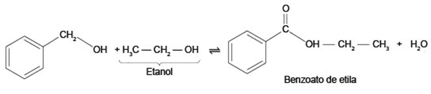
Assim o sólido branco trata de um ácido carboxílico, que foi dissolvido em etanol no teste II e aquecido na presença de uma catalisador, gerando benzoato de etila e o éster aromático benzoato de etila:

Portanto, o composto Alfa deve ser o Fenilmetanol, já que o éster formado possui um anel aromático com a carbonila advindo dessa molécula. Alternativa B.
Letra B.
