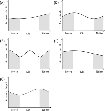
Considere um aquário tampado contendo apenas água e plantas aquáticas, em grande quantidade, e iluminado somente por luz solar. O gráfico que melhor esboça a variação de pH da água em função do horário do dia, considerando que os gases envolvidos na fotossíntese e na respiração das plantas ficam parcialmente dissolvidos na água, é:

Tags – Química, Fotossíntese, Equilíbrio de reações, pH, Bioquímica.
Resolução
Analisando a reação de fotossíntese fornecida na questão 17 e a reação inversa que ocorre durante a respiração das plantas:
6 CO2 (g) + 6 H2O (g) → C6H12O6 (aq) + 6 O2 (g)
C6H12O6 (aq) + 6 O2 (g) → 6 CO2 (g) + 6 H2O (g)
Enquanto há luz solar, a taxa de fotossíntese é maior que a taxa de respiração, portanto a concentração de CO2 na água deve diminuir durante o dia, já que no processo de produção de glicose há consumo de gás carbônico. Assim o pH da água deve aumentar durante o dia, já que pelo equilíbrio químico de CO2 diluído em água, com a diminuição da concentração de CO2 o equilíbrio desloca em sentido ao consumo de H+ (para a esquerda):
CO2(g) + H2O ↔ HCO–3(aq) + H+(aq)
Com a chegada da noite, na ausência de luz, a taxa de respiração torna-se maior que a de fotossíntese e, portanto, a produção de CO2 supera o seu consumo, o que desloca o equilíbrio da diluição de CO2 em água para o sentido de produção de H+ (para a direita), diminuindo o pH do aquário.
Portanto, no gráfico devemos ter uma curva em que há um aumento do pH no período do dia e diminuição com a chegada da noite. Assim a B, D e E não podem ser já que mostram diminuições do pH durante o dia e A (assim como a B, a D e a E), também não, já que mostram aumento do pH durante a noite. Sendo assim, a resposta correta é a alternativa C.
Letra C
