50 No sistema linear
Na variáveis x, y e z, a e m são constante reais. É correto afirmar:
a) No caso em que a = 1, o sistema tem solução se, e somente se, m = 2.
b) O sistema tem solução, quaisquer que sejam os valores de a e de m.
c) No caso em que m = 2, o sistema tem solução se, e somente se, a = 1.
d) O sistema só tem solução se a = m = 1.
e) O sistema não tem solução, quaisquer que sejam os valores de a e de m.
Resposta A
Reorganizando os termos do sistema linear:

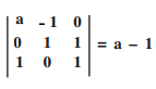
O determinando é dado por:

Se a ≠ 1, temos D ≠ 0 e o sistema é possível e determinado, tendo, dessa forma, solução única independente do valor de m.
Se a = 1, temos o sistema: teremos x + z = 2 (a partir das duas primeiras equações), logo m precisa ser igual a 2 para que o sistema admita solução.

