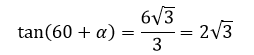
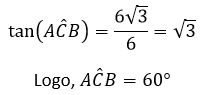
Use o cupom RESUMOV nos cursos online!

Additional menu