Viveiros de lagostas são construídos, por cooperativas locais de pescadores, em formato de prismas reto-retangulares, fixados ao solo e com telas flexíveis de mesma altura, capazes de suportar a corrosão marinha. Para cada viveiro a ser construído, a cooperativa utiliza integralmente 100 metros lineares dessa tela, que é usada apenas nas laterais.

Quais devem ser os valores de X e de Y, em metro, para que a área da base do viveiro seja máxima?
a) 1 e 49
b) 1 e 99
c) 10 e 10
d) 25 e 25
e) 50 e 50
SOLUÇÃO
O enunciado nos fala: “100 metros lineares dessa tela, que é usada apenas nas laterais”.
Disso, entendemos que o perímetro do retângulo de lados X e Y é 100. Logo, teremos
2x + 2y = 100
x + y = 50
A área será A = x . y = x . (50 – x) = -x2 + 50x
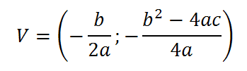
Precisamos lembrar da equação do vértice de uma parábola do tipo: y = ax2 + bx + c, a equação do vértice V(xv, yv) é


![]()
Letra D
