Em uma cantina, o sucesso de venda no verão são sucos preparados à base de polpa de frutas. Um dos sucos mais vendidos é o de morango com acerola, que é preparado com ⅔ de polpa de morando e ⅓ de polpa de acerola.
Para o comerciante, as polpas são vendidas em embalagens de igual volume. Atualmente, a embalagem da polpa de morando custa R$ 18,00 e a de acerola, R$ 14,70. Porém, está prevista uma alta no preço da embalagem da polpa de acerola no próximo mês, passando a custar R$ 15,30.
Para não aumentar o preço do suco, o comerciante negociou com o fornecedor uma redução no preço da embalagem da polpa de morando.
A redução, em real, no preço da embalagem da polpa de morango deverá ser de
- 1,20.
- 0,90.
- 0,60.
- 0,40.
- 0,30.
Solução
| Morango + acerola | Preço inicial | Preço final | Diferença |
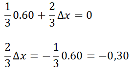
| 1/3 acerola | 14,70 | 15,30 | 0,60 |
| 2/3 morango | 18,00 | x | ∆ |
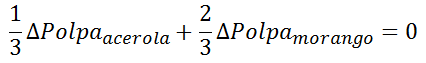
Assim, para que o preço se mantenha, temos que fazer a seguinte relação entre a variação do preço de cada polpa:


Assim, a embalagem de morango deve diminuir 30 centavos, 0,30.
Letra E
