Uma análise criteriosa do desempenho de Usain Bolt na quebra do recorde mundial dos 100 metros rasos mostrou que, apesar de ser o último dos corredores a reagir ao tiro e iniciar a corrida, seus primeiros 30 metros foram os mais velozes já feitos em um recorde mundial, cruzando essa marca em 3,78 segundos. Até se colocar com o corpo reto, foram 13 passadas, mostrando sua potência durante a aceleração, o momento mais importante da corrida. Ao final desse percurso, Bolt havia atingido a velocidade máxima de 12 m/s.
Disponível em: http://esporte.uol.com.br Acesso em 5 ago. 2012 (adaptado)
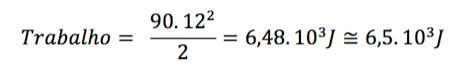
Supondo que a massa desse corredor seja igual a 90kg, o trabalho total realizado nas 13 primeiras passadas é mais próximo de
a) 5,4×102J
b) 6,5×103J
c) 8,6×103J
d) 1,3×104J
e) 3,2×104J
Solução
Já sabemos de física que o trabalho é igual a variação da energia cinética.


Letra B
