Segundo o Instituto Brasileiro de Geografia e Estatística (IBGE), produtos sazonais são aqueles que apresentam ciclos bem definidos de produção, consumo e preço.
Resumidamente, existem épocas do ano em que a sua disponibilidade nos mercados varejistas ora é escassa, com preços elevados, ora é abundante, com preços mais baixos, o que ocorre no mês de produção máxima da safra.
A partir de uma série histórica, observou-se que o preço P, em reais, do quilograma de um certo produto sazonal pode ser descrito pela função:

onde x representa o mês do ano, sendo x = 1 associado ao mês de janeiro, x = 2 ao mês de fevereiro, e assim sucessivamente, até x = 12 associado ao mês de dezembro.
Disponível em: www.ibge.gov.br.Acesso em: 2 ago. 2012 (adaptado).
Na safra, o mês de produção máxima desse produto é
a) janeiro.
b) abril.
c) junho.
d) julho.
e) outubro.
Solução
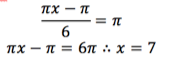
O mês de produção máxima ocorre quando o preço é mais baixo. O valor mínimo de P(x) ocorre quando o cosseno em questão é mínimo, ou seja, igual a -1.
![]()
Isso ocorre quando o ângulo é pi:

X=7 corresponde ao mês de julho.
Letra D
