A expressão “Fórmula de Young” é utilizada para calcular a dose infantil de um medicamento, dada a dose do adulto:

Uma enfermeira deve administrar um medicamento X a uma criança inconsciente, cuja dosagem de adulto é de 60 mg. A enfermeira não consegue descobrir onde está registrada a idade da criança no prontuário, mas identifica que, algumas horas antes, foi administrada a ela uma dose de 14 mg de um medicamento Y, cuja dosagem de adulto é 42 mg. Sabe-se que a dose da medicação Y administrada à criança estava correta.
Então, a enfermeira deverá ministrar uma dosagem do medicamento X, em miligramas, igual a
a) 15.
b) 20.
c) 30.
d) 36.
e) 40.
Solução
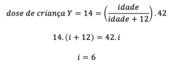
Para resolver essa questão, vamos, primeiramente calcular a idade da criança. Para isso usamos os dados do remédio Y:
dose_criança_Y = 14 = (idade/(idade+12)).42

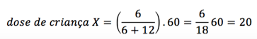
Assim, basta aplicarmos esse valor na fórmula para calcular a dosagem de X:

Letra B
