o pêndulo de Newton pode ser constituído por cinco pêndulos idênticos suspensos em um mesmo suporte. Em um dado instante, as esferas de três pêndulos são deslocadas para a esquerda e liberadas, deslocando-se para a direita e colidindo elasticamente com as outras duas esferas, que inicialmente estavam paradas.

O movimento dos pêndulos após a primeira colisão está representado em:

Resposta C
Por colisões elásticas entre as esferas, tem-se:
– conservação da quantidade de movimento
Isso porque imediatamente antes das colisões, a velocidade das esferas é praticamente horizontal e não existem forças externas na direção horizontal atuando sobre as esferas.
– conservação da energia cinética total do sistema formado pelas cinco esferas.
A energia é conservada uma vez que as colisões são elásticas (de acordo com o enunciado da questão).
A resolução desta questão se dará por um sistema de equações, 2 equações (conservação de Q e da energia) e duas incógnitas o número de bolinhas que se moverá após a colisão (A) e a velocidade v’.
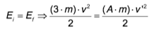
Assim, podemos escrever a equação da conservação de energia. Antes da colisão temos 3 bolinhas com massa m e velocidade v. Após a colisão teremos “A”bolinhas com velocidade v’.

Temos, similarmente, a conservação da energia cinética.


Agora podemos pensar além, vemos no enunciado que 3 bolinhas vem ao encontro das outras, e calculamos que 3 bolinhas se moverão para o outro lado. Se fizermos os cálculos, veremos que se apenas uma bolinha vier ao encontro das outras, apenas uma se moverá do outro lado. E assim sucessivamente para 2, 3, 4 bolinhas.

