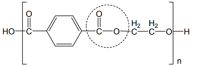
O uso de embalagens plásticas descartáveis vem crescendo em todo o mundo, juntamente com o problema ambiental gerado por seu descarte inapropriado. O politereftalato de etileno (PET), cuja estrutura é mostrada, tem sido muito utilizado na indústria de refrigerantes e pode ser reciclado e reutilizado. Uma das opções possíveis envolve a produção de matérias-primas, como o etilenoglicol (1,2-etanodiol), a partir de objetos compostos de PET pós-consumo.

Com base nas informações do texto, uma alternativa para a obtenção de etilenoglicol a partir do PET é a
- solubilização dos objetos.
- combustão dos objetos.
- trituração dos objetos.
- hidrólise dos objetos.
- fusão dos objetos.
SOLUÇÃO
Veja a função éster na molécula de politereftalato de etileno (PET)

Vamos relembrar a função éster abaixo:

Ésteres reagem com água gerando álcool e ácido. Veja a hidrólise de um éster:

Portanto, teremos:

- solubilização dos objetos. – Processo físico, não muda a molécula.
- combustão dos objetos. – Gera CO2 e H2O, e não o etilenoglicol
- trituração dos objetos. – Processo físico, não muda a molécula.
- hidrólise dos objetos. Nossa resposta.
- fusão dos objetos. – Processo físico, não muda a molécula.
LETRA D
