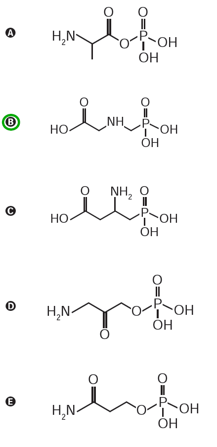
O glifosato (C3H8NO5P) é um herbicida pertencente ao grupo químico das glicinas, classificado como não seletivo. Esse composto possui os grupos funcionais carboxilato, amino e fosfonato. A degradação do glifosato no solo é muito rápida e realizada por grande variedade de microrganismos, que usam o produto como fonte de energia e fósforo. Os produtos da degradação são o ácido aminometilfosfônico (AMPA) e o N– metilglicina (sarcosina):

A partir do texto e dos produtos de degradação apresentados, a estrutura química que representa o glifosato é:

SOLUÇÃO
A maneira mais fácil de resolver a questão é analisando o trecho a seguir do enunciado:
“Esse composto possui os grupos funcionais carboxilato, amino e fosfonato.”
Assim, basta procurarmos nas respostas a opção que tem os 3 íons. Uma opção que exige um pouco mais de conhecimento é fazer a reação orgânica. Optamos por fazer as duas coisas, primeiro vamos eliminar as respostas que não tem os 3 íons, e depois vamos fazer a reação.
Formas moleculares dos íons
Um ácido carboxílico tem a forma:
![]()
O íon carboxilato na estrutura comum, seria:

Já o íon fosfonato tem a forma:

Agora nos resta o grupo amino

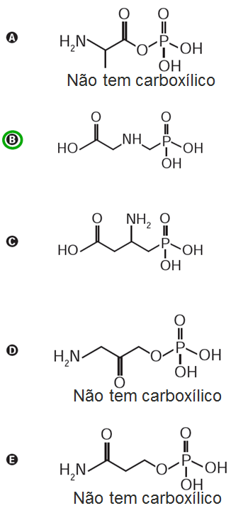
Lembre que um dos oxigênios do grupo carboxilato precisa estar conectado a um hidrogênio, só assim já eliminamos as letras A, D e E.

Assim, ficamos entre as letras B e C, podemos simplesmente pegar a molécula de uma dessas alternativas e quebrá-la conforme fala o enunciado.

Assim, encontramos a letra B.
LETRA A
