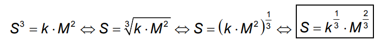
Muitos processos fisiológicos e bioquímicos, tais como batimentos cardíacos e taxa de respiração, apresentam escalas construídas a partir da relação entre superfície e
massa (ou volume) do animal. Uma dessas escalas, por exemplo, considera que “o cubo da área S da superfície de um mamífero é proporcional ao quadrado de sua
massa M”.
HUGHES-HALLETT, D. et al. Cálculo e aplicações. São Paulo: Edgard Blücher, 1999 (adaptado).
Isso é equivalente a dizer que, para uma constante k > 0, a área S pode ser escrita em função de M por meio da expressão:
A S = k . M
B S = k . M1/3
C S = k1/3 . M1/3
D S = k1/3 . M2/3
E S = k1/3 . M2
SOLUÇÃO
Temos que

LETRA D
