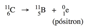
Glicose marcada com nuclídeos de carbono-11 é utilizada na medicina para se obter imagens tridimensionais do cérebro, por meio de tomografia de emissão de pósitrons. A desintegração do carbono-11 gera um pósitron, com tempo de meia-vida de 20,4 min, de acordo com a equação da reação nuclear

A partir da injeção de glicose marcada com esse nuclídeo, o tempo de aquisição de uma imagem de tomografia é de cinco meias-vidas.
Considerando que o medicamento contém 1,00 g do carbono-11, a massa, em miligramas, do nuclídeo restante, após a aquisição da imagem, é mais próxima de
- 0,200.
- 0,969.
- 9,80.
- 31,3.
- 200.
SOLUÇÃO
No começo temos uma quantidade 100, em um tempo de meia vida, teremos uma quantidade 50. Depois que passar mais um tempo de meia vida, teremos uma quantidade 25. E assim sucessivamente.


Após uma meia vida (20,4 min) a massa do nucleotídeo diminuirá pela metade, e vamos fazendo o ciclo abaixo para 5 meias-vida:
1 x 20,4 min: 1000 mg ⇒ 500 g
2 x 20,4 min: 500 mg ⇒ 250 g
3 x 20,4 min: 250 mg ⇒ 125 g
4 x 20,4 min: 125 mg ⇒ 62,5 g
5 x 20,4 min: 62,5 mg ⇒ 31,25 g
Portanto, a massa do nucleotídeo restante será mais próxima de 31,3 mg.
LETRA D
