Em um piano, o Dó central e a próxima nota Dó (Dó maior) apresentam sons parecidos, mas não idênticos. É possível utilizar programas computacionais para expressar o formato dessas ondas sonoras em cada uma das situações como apresentado nas figuras, em que estão indicados intervalos de tempo idênticos (T).


A razão entre as frequências do Dó central e do Dó maior é de:
- 1/2.
- 2.
- 1.
- 1/4.
- 4.
SOLUÇÃO
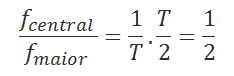
Vemos na figura que no mesmo tempo T, a nota dó central completa 1 período enquanto que a nota dó maior completa 2 períodos.

Sabemos que o período é o inverso da frequência:
frequência=1/período


Logo, podemos escrever a relação entre a f de dó central e maior:

LETRA A
