Desenvolve-se um dispositivo para abrir automaticamente uma porta no qual um botão, quando acionado, faz com que uma corrente elétrica i = 6 A percorra uma barra condutora de comprimento L = 5 cm, cujo ponto médio está preso a uma mola de constante elástica k = 5 × 10–2 N/cm. O sistema mola-condutor está imerso em um campo magnético uniforme perpendicular ao plano. Quando acionado o botão, a barra sairá da posição de equilíbrio a uma velocidade média de 5 m/s e atingirá a catraca em 6 milisegundos, abrindo a porta.

A intensidade do campo magnético, para que o dispositivo funcione corretamente, é de
- 5 × 10–1 T.
- 5 × 10–2 T.
- 5 × 101 T.
- 2 × 10–2 T.
- 2 × 100 T.
SOLUÇÃO


A questão é um pouco confusa, vamos supor o seguinte.
Entendemos que a ideia da questão é:
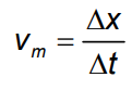
- Velocidade média entre a saída da barra de equilíbrio e o instante em que atinge a catraca é de 5 m/s
- Barra atingir a catraca com aceleração nula (força magnética atuando na barra no sentido de parar o movimento).
De (1) temos:


![]()
De (2) temos:
Fresultante = 0
Fresultante = Felástica – Fmagnética = 0
Fmagnética = Felástica
B . i . l . sen (90°) = k . x
B . 6 . 5 . 10-2 . 1 = 5 . 10-2 . 3
B = 5 . 10-1 T
LETRA A
